About this App (version 1.0a)

The Ceff Calculator is a platform-independent browser-based interface that facilitates the analysis of flexible linker properties by applying the worm like chain model (WLC model). The application allows the analysis of effective concentrations enforced by linkers and of linker dimensions represented as the probability distribution of end-to-end distances. The application requires the user to define the system specific parameters and allows an easy access to important parameters such as the optimal linker length for maximal enhancement of avidity and the effective concentration at a specific linker length. These features help in protein design for biotechnology applications and also in the analysis of biological systems.

The Ceff Calculator was developed by the @ChemesLab. The application is based on the Shiny package and it was coded by Juliana Glavina, PhD, with server implementation by Cesar Leonetti.

Please, report problems, questions and feedback on the app to support@chemeslab.org.

The use of the Ceff Calculator is described in detail in Kjaergaard M, Glavina J and Chemes LB. Predicting the effect of disordered linkers on effective concentrations and avidity with the “Ceff calculator” app (see References tab). This page briefly outlines how to use this app and the theory behind the calculations. It’s organized in the following main sections:


Before you start

The first step towards calculating effective concentrations is to determine the length of the linker and the spacing between binding sites in your system. Here, we briefly outline how to identify these two parameters. For further details, see Kjaergaard M et al. 2020 in the References tab.

Mapping linker boundaries

The mapping of linker boundaries depends on what the linker is connected to. For folded domains with a known 3D structure the linker starts at the first or last residue that is not resolved in the structure. If there is no structure, you can predict conserved domains using CDD or PFAM in combination with a disorder predictor such as MobiDB, which collates the consensus of different predictors, or a single predictor such as MFDp2 to define linker boundaries. If the linker tethers a short linear motif, the linker can usually be assumed to start after the last residue of the motif, or end the first residue before the start of the motif.

Measuring the distance between sites

Intramolecular and multivalent interactions are also modulated by the distance separating the attachment sites of the linker, named ro in the model. For intramolecular binding, the distance between contact sites is that between the linker attachment site and the binding site. In a bivalent interaction, the relevant distance is the distance between binding sites. If the 3D structure of the complex is available from the Protein Data Bank, you can use a program for visualization and analysis of protein structures, such as Chimera and PyMol and measure the distance between contact sites.


Ceff Plot Tab

The Ceff Plot Tab (FIG. 1) allows the visualization of effective concentration (Ceff) as a function of linker length for a thethered system.

Ceff Plot Tab
FIG. 1: Ceff Plot Tab. Figure is from Kjaergaard M et al. 2020 (see References tab).

The Sidebar Panel

The sidebar panel on the left has two main sections, the first one allows the input of basic parameters and download of the data and the second one allows the customization of the X axis.

1. Basic parameters

In this section it is possible to input the parameters that define the system under study. We separate the specific system parameters from those that are generic to the WLC model.

a. Specific system parameters

To calculate the effective concentration enforced by a specific linker on a tethered system, you will need to determine two specific system parameters: the Linker length (Nres) and the separation between binding sites (ro) as explained in the Before you start section. This section (FIG. 2) allows the input of these values:

  • Distance between contact sites (ro): you should complete this field with the measured distance between two binding sites or between a binding site and the site of tethering
  • Specific Linker length (Nres): you should complete this field with your linker’s length for the calculation of a specific Ceff.

Both values can be typed, or modified by steps of 0.1 using the arrows that appear on the right side of the input field when placing the pointer over the field. No plot is produced if negative values are used.

Section 1 in Sidebar panel
FIG. 2: Specific system parameters. Section 1 in the Ceff Plot Tab Sidebar panel

b. WLC parameters

You will also have to choose the WLC parameters. This section (FIG. 3) allows the input of the persistence length (Lp) and the size of one amino acid (b). The default values are set to the standard parameters that work for most protein linkers. Please use reference values here except for advanced use. For more detail on advanced use see Kjaergaard M et al. 2020 (see References tab).

  • Lp or persistence length: This value is set to a reference value of 4 Å and will work well for most protein linkers. Only under special circumstances you may choose to change this value.

Changing the Lp value: Most natural linkers can be well described by using persistence lengths of 3 Å or 4 Å, and we recommend the use of these parameters unless you have a good reason to change it. Some good reasons might be if the linker has a very high proline content (>20%), in which case higher values (~ 9-12 Å) can be tried. If the linker is highly flexible, Lp = 3 Å might be chosen.

  • b or size of one amino acid: This value is set to a reference value of 3.8 Å and will work well for all protein linkers. This parameter is only to be changed when modeling non-peptide linkers.

Changing the b value: The value of b = 3.8 Å represents the average bond length of one amino acid, and should not be changed while working with protein linkers. It might be changed, only when working with other types of polymers.

Both values can be typed or modified by steps of 0.1 using the arrows that appear on the right side of the input field when placing the pointer over the field. No plot is produced if negative values are used.

Section 2 in Sidebar panel
FIG. 3: WLC parameters. Section 2 in Ceff Plot Tab Sidebar panel

At the bottom of this section the Download button allows to download the Ceff plot values as a tsv file (tab separated values) to plot with the desired software.

2. Customization

This section (FIG. 4) allows the input of custom limits for the x axis. The minimum and maximum values can be typed or modified by steps of 0.1 using the arrows that appear on the right side of the input field when placing the pointer over the field.

Section 3 in Sidebar panel
FIG. 4: X Axis Customization. Section 3 in the Ceff Plot Tab Sidebar panel

The Plot Panel

The plot panel (FIG. 5) shows the effective concentration as a function of linker length for a given spacing between linker attachment sites (ro) provided in the Specific system parameters section using the persistence length (Lp) and the size of one amino acid (b) from the WLC parameters sections.

Ceff Plot Tab
FIG. 5: Ceff Plot Panel

The bar at the top right corner of the plot tab offers different functionalities:

1. Download the plot

Download The camera button allows to download the plot as a png file.

2. Zoom and Pan buttons

Zoom The zoom button allows to zoom in on a region of the graph by clicking and holding the mouse and moving across the region. To zoom out, double-click anywhere on the plot.

Pan The pan button allows to explore the graph by clicking and holding the mouse and dragging the graph. To return to the original view, double click anywhere on the plot.

ZoomIn ZoomOut The + and - buttons allow to zoom in and out.

3. Autoscale and Reset Axes

autoscale Once the default view is change, the Autoscale button zooms to a setting optimized to include a wide range of data. To zoom out, double-click anywhere on the plot.

reset The reset axes button zooms the plot back to a setting that is optimized to show the viewable data.

It is also possible to pan along axes by using the double arrow that appears over the axes and by clicking and holding the mouse and dragging the axis. The axis can be zoom out by using the arrow-to-top/bottom or arrow-to-left/right that appears over the y or x axis by clicking and holding the mouse. Last, axis can also be autoscale by double-clicking on the axis.

4. Toggle and Hover

toggle The toggle spikes button creates two dotted lines that extend the dot over the curve to both axis.

The next two buttons are hovering options. The first button ‘Show closest data on hover’ is selected at all times displays the data for just the one point under the cursor. The second button ‘Compare data on hover’ will show the data for all points with the same x-value (just one value in this case).

The Output Panel

The output panel (FIG. 6) displays the following information based on the parameters defined in the Basic parameters section (see System specific parameters and WLC parameters):

  • The Optimal linker length: this is the linker length that produces an optimal affinity enhancement for a given separation between linker attachment sites. This is often desired in biotechnological applications involving linker design or when evaluating whether natural systems are evolutionarily optimized for tight binding.
  • The maximal Ceff for optimal linker: This is the Ceff value for the optimal linker length (maximum of the Ceff plot).
  • The Results of Ceff calculation for a specific linker length: As many users will focus on a specific system with a defined linker length, the Ceff calculator takes a linker length parameter input in the System specific parameters section and calculates the effective concentration for this linker.
Output Panel
FIG. 6: Ceff Output Panel

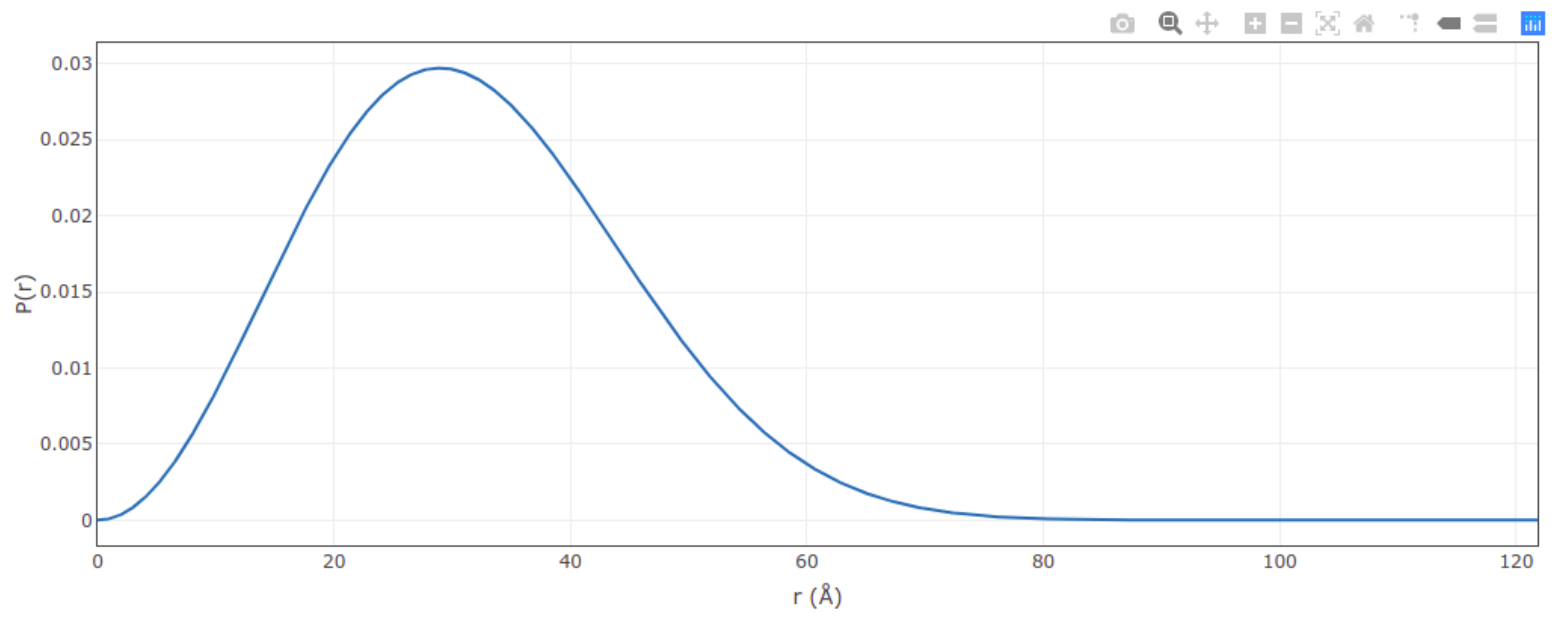
P(r) Plot Tab

The P(r) Plot tab calculates the distance probability distribution p(r) for a linker of defined length (FIG. 7).

Output Panel
FIG. 7: P(r) Plot Tab. Figure is from Kjaergaard M et al. 2020 (see References tab).

The Sidebar Panel

As in the Ceff plot tab, the sidebar panel on the left has two sections:

1. Basic parameters

In this section it is possible to modify the parameters that define the system. We separate the specific system parameters from those that are generic to the WLC model.

a. Specific system parameters

This section (FIG. 8) allows the input of the linker length (Nres) for plotting the probability distribution of the end-to-end distance of the linker, (p(r)).

P(r) Side Bar
FIG. 8: Specific system parameters. Section 1 in the P(r) Plot Tab Sidebar panel

This value can be typed or modified by steps of 0.1 using the arrows that appear on the right side of the input field when placing the pointer over the field.

2. WLC parameters

This section is equivalent to the WLC parameters section in the Ceff Plot Tab. The default values are set to standard parameters that work for most protein linkers. The values can be typed or modified by steps of 0.1 using the arrows that appear on the right side of the input field when placing the pointer over the field.

At the bottom of this section the Download button allows to download the P(r) plot values as a tsv file (tab separated values) to pĺot with the desired software.

3. Customization

This section is equivalent to the Customization section in the Ceff Plot Tab. The minimum and maximum values can be typed or modified by steps of 0.1 using the arrows that appear on the right side of the input field when placing the pointer over the field.

The Plot Panel

The plot panel (FIG. 9) shows the probability distribution of the end to end distance, (p(r)) for a linker of defined length defined in the System specific parameters section and the persistence length (Lp) and the size of one amino acid (b) from the WLC parameters section.

P(r) Plot Panel
FIG. 9: P(r) Plot Panel

The bar at the top right corner of the plot tab offers the same functionalities describe above.

The Output Panel

The output panel (FIG. 10) displays for the system defined in the Specific system parameters and WLC parameters sections:

  • The End to end distance (r) with maximal probability: This is the maximum value of the p(r) function”
  • The maximal end to end distance: This is the maximal extension that the linker can attain, which is equivalent to its contour length (Lc = b * Nres) calculated as the number of residues multiplied by the size of one aminoacid.
P(r) Output Panel
FIG. 10: P(r) Output Panel

The theory behind the app: The Worm-Like Chain model (WLC) for flexible polymers

The WLC model describes a linker as a semi-flexible polymer represented as a continuous cylinder with a fixed but randomly directed radius of curvature. The polymer conformation is defined by two variables: the contour length (Lc) and the persistence length (Lp). Here, we present a brief description of the WLC model parameters and functions. References to the WLC model can be found in the References tab.

P(r) calculation from the WLC model

The WLC model provides a mathematical expression for the probability density function p(r), which describes the distribution of end-to-end distances of a polymer. The p(r) can be expressed as:

$$ p( r ) = 4 \pi r^2 \left(\dfrac{3}{4\pi L_p L_c}\right)^\frac{3}{2}exp \left(\dfrac{-3r^2}{4 L_p L_c} \right) \zeta \left(r,L_p,L_c\right)$$

Where:

$$\zeta \left(r,L_p,L_c\right) = 1 - \left\{\dfrac{5L_p}{4L_c}-\dfrac{2r^2}{L_c^2}+\dfrac{33r^4}{80 L_p L_c^3}+\dfrac{79 L_p^2}{160 L_c^2}+\dfrac{329 r^2 L_p}{120 L_c^3}-\dfrac{6799r^4}{1600L_c^4}+\dfrac{3441 r^6}{2800 L_p L_c^5}-\dfrac{1089 r^8}{12800 L_p^2 L_c^6}\right\}$$

  • Lp is the persistence length and it represents the distance across which the direction of the chain becomes uncorrelated, providing a measurement of the stiffness of the chain.
  • Lc is the contour length defined as the length of a fully extended chain (Lc = b * Nres)
  • Nres is the number of amino acids in the linker
  • b is the average size of an individual amino acid (3.8 Å)

For a linker of defined length, the end to end distances show a bell-shaped distribution that peaks at intermediate extension and is unlikely to be very compact or fully extended (FIG. 11A). On the other hand, increasing the stiffness of a linker of fixed length leads to a more extended ensemble (FIG. 11B).

P(r) Plot
FIG. 11: Probability distribution of the end-to-end distances of a flexible linker. A) The P(r) plot shows the distribution of end-to-end distances for a 70 residue linker with Lp = 3 Å. The end-to-end distance with highest probability is 32.8 Å (peak of the distribution). Representative conformations are depicted in blue, and double arrows mark the end-to-end distance of each conformation. B) Effect of changing the stiffness (Lp) of a linker. For the same length, the linker becomes more extended as the stiffness increases (higher Lp). The values depicted represent highly flexible linkers (Lp = 3 Å) as those seen in glycine rich chains, intermediate flexibility (Lp = 6 Å) and low flexibility (Lp = 9 Å) as seen in proline-rich linkers (>20% proline). The peak of the distribution shifts from 32.8 Å for Lp = 3 Å to 57.7 Å for Lp = 9 Å. Figure is from Kjaergaard M et al. 2020 (see References tab).

The Effective Concentration Ceff

The effective concentration, Ceff, represents the concentration of one linker end at a fixed distance from the site of tethering. Once the probability density function p(r) for a linker is known, the effective concentration enforced by the linker when it is restrained to a distance ro between binding sites is given by:

$$C_{eff} = \dfrac{p(r_{o})}{4\pi r_o^2} \dfrac{10^{27} \unicode{x212B}^3 l^{-1}}{N_A}$$

Where:

  • Ceff is the effective concentration (expressed in molar units).
  • p(ro) is the probability density distribution for the linker
  • ro is the distance between binding sites defined for each system
  • NA is Avogadro’s constant

For a fixed distance, we can model how Ceff depends on linker length. The Ceff plot shows that Ceff gradually increases with linker length up to a maximal value, and then decreases monotonically but slowly as linker length increases for longer linkers. FIG. 12B and FIG. 12C show how the Ceff value depends on linker length. The optimal Ceff value is reached when the linker length is such that the linker dimensions (average end-to-end distance) place the end of the linker at the secondary binding site. For very short linkers, the extension will rarely reach the secondary binding site, and for longer linkers, a larger space is explored away from the fixed distance, decreasing the Ceff value (right side of the plot in FIG. 12B).

Ceff Plot
FIG. 12: Understanding the Ceff curve for a flexible linker. A) As a representative example, we show a system where a protein domain can be auto-inhibited by intramolecular binding of a helical motif. The distance between contact sites (ro) is determined in the auto-inhibited complex structure by measuring the distance between the last residue of the folded domain (beginning of the linker) and the site where the binding motif contacts the folded domain (end of the linker). In this case, ro = 38 Å ([PDB:3DAB](https://www.rcsb.org/structure/3DAB)). B) The Ceff curve for the example shown in A is depicted. The maximal Ceff value (2.24 mM) is reached with a 69-residue linker. C) Representative diagram showing how Ceff depends on linker length for a tethered bimolecular interaction. A folded domain is shown in gray, and a disordered protein harboring two binding motifs is shown as black line with the motifs depicted in blue and red, respectively. Once the first motif is bound the reaction is intramolecular. For short linkers, the second motif rarely reaches the secondary binding site and Ceff is low. For an optimal linker, the linker extension matches the separation between binding sites, providing the maximal concentration of the second motif at the secondary binding site. For a longer linker, Ceff slowly decays as the linker explores a larger conformational space away from the secondary binding site. Figure is from Kjaergaard M et al. 2020 (see References tab).

References

If you use this app please Cite us!

  • Kjaergaard M*, Glavina J, Chemes LB*. Predicting the effect of disordered linkers on effective concentrations and avidity with the “Ceff calculator” app. Methods in Enzymology. 2020.
    Submitted

References

If you use this app please Cite us!

  • Kjaergaard M*, Glavina J, Chemes LB*. Predicting the effect of disordered linkers on effective concentrations and avidity with the “Ceff calculator” app. Methods in Enzymology. 2020.
    Submitted

Worm Like Chain (WLC) Model

  • Zhou HX. Polymer Models of Protein Stability, Folding, and Interactions. Biochemistry. 2004 Mar 2;43(8):2141-54.
    PubMed. DOI: 10.1021/bi036269n

  • Zhou HX. Quantitative Account of the Enhanced Affinity of Two Linked scFvs Specific for Different Epitopes on the Same Antigen. J Mol Biol. 2003 May 23;329(1):1-8.
    PubMed. DOI: 10.1016/s0022-2836(03)00372-3

  • Zhou, HX. The affinity-enhancing roles of flexible linkers in two-domain DNA-binding proteins. Biochemistry, 2001. 40(50): p. 15069-73.
    PubMed. DOI: 10.1021/bi015795g

  • Rubinstein M and Colby RH. Polymer physics. Oxford University Press.2003.
    ISBN: 978-0198520597